
六合彩走势图 王绍金教授“农产品储运保鲜和加工装备技术研究”团队在低水分农产品射频杀菌取得新进展。研究成果《Inactivation of inoculated Salmonella and natural microflora on two kinds of edible seeds by radio frequency heating combined with cinnamon oil vapor》发表于中科院一区TOP期刊LWT-Food Science and Technology。论文第一单位为六合彩走势图 六合彩走势图 ,博士研究生徐渊美为论文第一作者,王绍金教授为论文通讯作者。
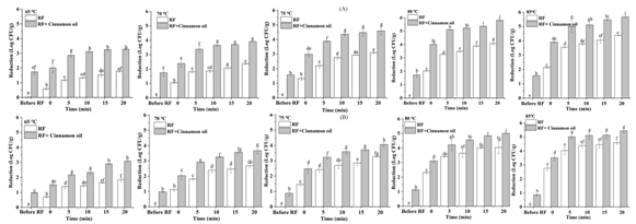
对于低水分颗粒物料射频杀菌,目前多采用提高水分活度来降低杀菌强度,但此方法会增加后期干燥时间及不适用于包装后杀菌。植物精油是安全有效的天然抑菌剂,本研究将肉桂精油熏蒸与射频加热联合处理两种低水分可食用种子(芝麻籽和亚麻籽)表面自然菌群和人工接种的沙门氏菌。结果表明联合处理对自然菌群和致病菌的致死率有加和效果,且对品质影响较小,满足食用性要求,但两者无协同效果,其原因与射频加热或熏蒸处理在低水分食品上产生较少的亚致死细胞有关。

图1射频加热与肉桂熏蒸联合处理对两种可食用种子表面人工接种的沙门氏菌的杀灭效果
研究工作得到了国家自然科学基金、陕西省重点研发计划等项目经费的资助。
原文连接://www.sciencedirect.com/science/article/pii/S0023643821017564